В июле 2014 года уровень продаж легковых и коммерческих автомобилей снизился на 22.9%, а в десятке лидеров по-прежнему находятся автомобили российской сборки. Предлагаем вашему вниманию ТОП-25 самых продаваемых моделей на российском рынке за июль 2014 года.

Но сперва, давайте посмотрим на популярность отдельно взятых брендов за июль 2014 года. По-прежнему на первой строчке расположилась марка LADA, однако по сравнению с 2013 года продажи продукции АвтоВАЗа упали на 25% (28 014 ед.). На втором месте находится KIA (15 303 единиц). Здесь также наблюдается спад продаж на 11%, а вот на третьем месте в рейтинге марок за июль месяц находится Renault (15303 единиц.), которая «уронила» уровень продаж на 16% по сравнению с 2013 годом.
Вообще говоря, в ТОП-10 рейтинга положительную динамику продаж показала лишь Skoda (7054), улучшившая свой прошлогодний показатель (6805 ед.) на 4%. А вот больше всех в июле 2014 года потерял автоконцерн Chevrolet (-45%).
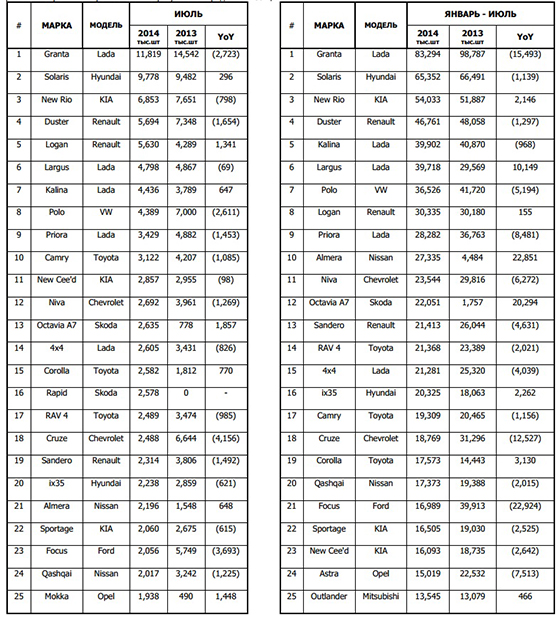
Топ-25 самых продаваемых автомобилей за июль
Самым популярным автомобилем в России в июле 2014 года остается LADA Granta – 11 819 проданных машин. Это на 2 723 единиц меньше, чем в 2013 году, сообщает Ассоциация европейского бизнеса. Второе место и титул самой продаваемой иномарки на российском рынке оказался у Hyundai Solaris. Этот «народный» автомобиль разошелся в июле по всей России в количестве 9778 единиц, что на 296 машин больше прежних результатов. А вот третье место закрывает новый KIA Rio (6843 проданных единиц). Корейцы потеряли в продажах целых 798 единиц. Неприятную динамику показывает и Renault Duster. Французский автоконцерн теряет покупателей и в июле 2014 года уменьшил уровень продаж на 1 654 единицы (продано 5694 автомобилей).
Замыкает же пятерку лидеров Renault Logan. Старт продаж его нового поколения позволил марке выйти в «плюс» - 5630 машин против 4289 единиц в июле 2013 года. А вот ТОП-25 в минувшем месяце покинул бюджетный кроссовер Nissan Terrano, Mazda CX-5 и Volkswagen Jetta. Зато в рейтинг вернулся Ford Focus (23-е место) и Opel Mokka (25-е место).
Отметим также, что в первом полугодии 2014 года автомобильный рынок в России просел на 9.9% (154 864 проданных автомобилей) по сравнению с аналогичным периодом 2013 года. Вот, что говорит по этому поводу председатель Комитета автопроизводителей АЕБ Йорг Шрайбер:
«К сожалению, сжатие автомобильного рынка продолжилось, набрав скорость в июле. В целом, тренд тревожный, и маловероятно, что он фундаментально изменится в ближайшее время. Конечно, Московский Автосалон, который откроется в конце августа, должен иметь стимулирующий эффект на продажи автомобилей, особенно принимая во внимание, что осень - сезон высоких продаж. По крайней мере, это то, что происходило обычно. Но разве этот год назовешь обычным?»
Читайте также: Люди говорят: недостатки Renault Logan
Казань - Автопортал AUTOTAT.ru
Поделиться в соцсетях:


